09. 先验与后验
先验与后验
Question:
Start Quiz:
Solution:
INSTRUCTOR NOTE:
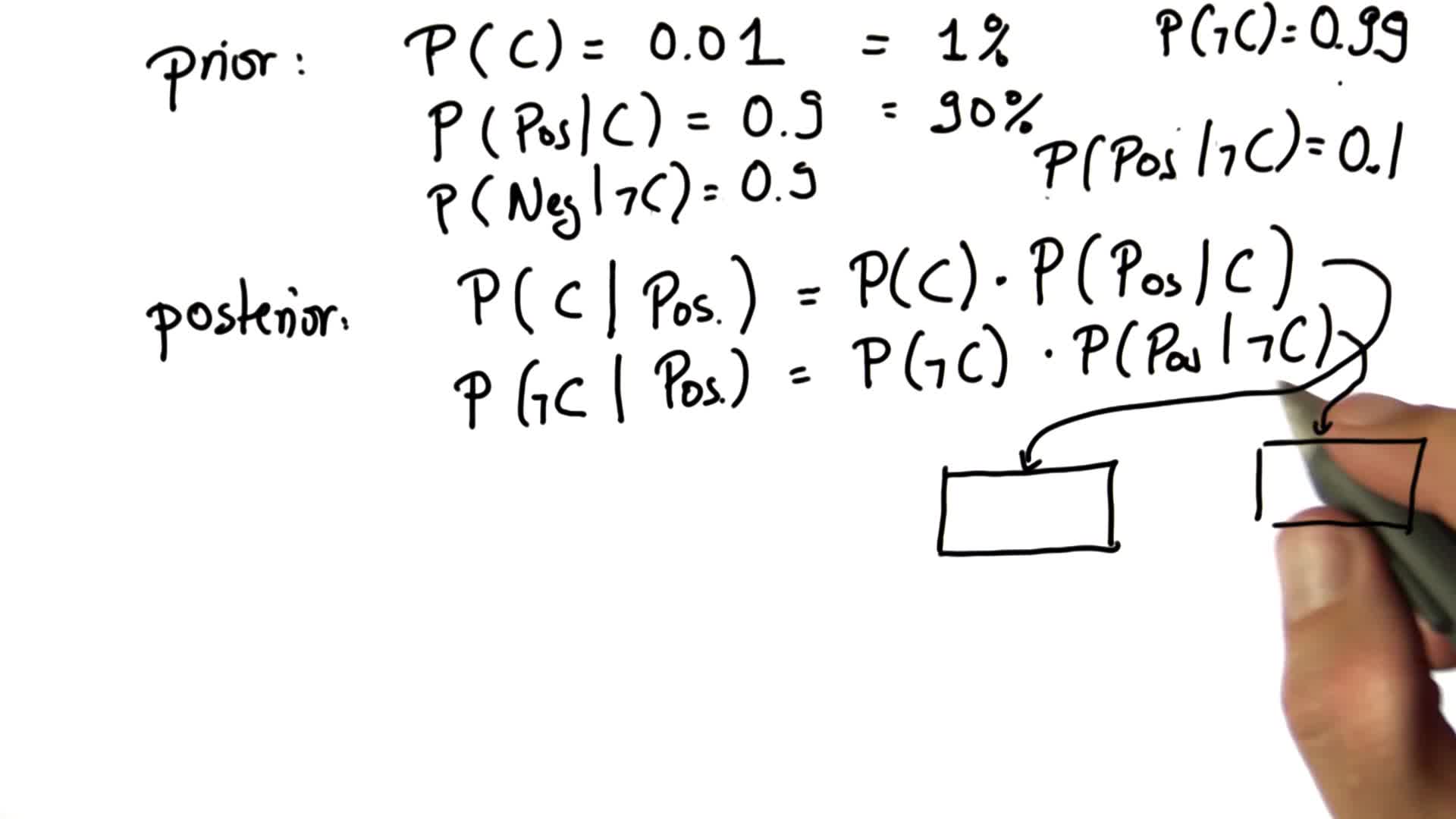
纠正:0:45 处,癌症例子的后验应写为 P(C, Pos),而不是 P(C|Pos),非癌症例子的后验应写为 P(~C, Pos),而不是 P(~C|Pos)。
先验与后验
纠正:0:45 处,癌症例子的后验应写为 P(C, Pos),而不是 P(C|Pos),非癌症例子的后验应写为 P(~C, Pos),而不是 P(~C|Pos)。